European Regulations - COMMISSION REGULATION (EU) 2024/1103

European Regulations - COMMISSION REGULATION (EU) 2024/1103

2024/1103

19.4.2024

COMMISSION REGULATION (EU) 2024/1103

of 18 April 2024

implementing Directive 2009/125/EC of the European Parliament and of the Council as regards ecodesign requirements for local space heaters and separate related controls and repealing Commission Regulation (EU) 2015/1188

(Text with EEA relevance)

THE EUROPEAN COMMISSION,

Having regard to the Treaty on the Functioning of the European Union,

Having regard to Directive 2009/125/EC of the European Parliament and of the Council of 21 October 2009 establishing a framework for the setting of ecodesign requirements for energy-related products (1) and in particular Article 15(1) thereof,

Whereas:

(1)

Directive 2009/125/EC requires the Commission to set ecodesign requirements for energy-related products that represent significant volumes of sales and trade, that have a significant environmental impact and whose environmental impact could be considerably reduced without excessive costs.

(2)

The proposal for a revised Energy Efficiency Directive (EED) (2) requires Member States to further develop their national energy and climate plans (NECPs), referred to in Article 4(2), by including measures to reduce Union energy consumption by at least 9 % overall by 2030 compared to the 2020 Reference Scenario. In this context, the ecodesign and energy labelling rules for products are key ways for the Union to achieve its energy and decarbonisation objectives.

(3)

The Ecodesign and Energy Labelling Working Plan 2022-2024 (3) includes local space heaters among the product groups for which the ecodesign and energy labelling requirements are due or expected to be reviewed before the end of 2025.

(4)

Measures from the Ecodesign and Energy Labelling Working Plan 2022-2024 have an estimated potential to deliver total annual final energy savings in excess of 170 TWh by 2030. This is equivalent to reducing greenhouse gas emissions by approximately 24 million tonnes per year by 2030. Local space heaters have the potential to deliver electricity savings of 11 TWh/year by 2030.

(5)

The Commission established ecodesign requirements for local space heaters in Regulation (EU) 2015/1188 (4). In accordance with Article 7 of that Regulation the Commission has reviewed it and analysed the technical, environmental and economic aspects of local space heaters as well as real-life end-user behaviour. The results of the review were made public and presented to the Consultation Forum established by Article 18 of Directive 2009/125/EC.

(6)

The review study shows that the ecodesign measures in Regulation (EU) 2015/1188 have significantly contributed to reducing energy consumption and greenhouse gas emissions. However, without further regulatory action, energy savings will stagnate after 2030. The environmental aspects of local space heaters, identified in the review study as significant for the purposes of Regulation (EU) 2015/1188 are the consumption of energy during the use phase, the generation of waste at the end of life and the emissions to air and water in the production phase (due to the extraction and processing of raw materials).

(7)

Annual energy consumption from local space heaters amounted to 200 TWh/year in 2020, equivalent to 1,7 % of the Union total final energy consumption and 4 % of the final energy consumption of households and services. The projected energy consumption of local space heaters in a business as usual scenario is estimated to decrease to 140 TWh/year in 2030. The decrease may be accelerated if the existing ecodesign requirements are updated.

(8)

The Commission has assessed the impact of different policy options to reduce energy consumption from local space heaters from 2025 onwards. According to the impact assessment, new ecodesign measures could reduce energy consumption and greenhouse gas emissions by 23 TWh/year and 1,8 Mt CO2-eq/year respectively by 2030.

(9)

As a result, it is necessary to clarify and expand the scope of Regulation (EU) 2015/1188 in order to eliminate ambiguities and close existing loopholes in relation to products that provide thermal comfort and should therefore be considered local space heaters. Given that aim, the definition of exempted products should be improved to reduce the possibility of misinterpretation. In addition, the declaration from the manufacturer, importer or authorised representative about the intended use of an exempted product and its design as indicated in the technical documentation should be coherent with the description and definition of the exempted product types, and should not be contradicted by marketing claims or by any other information provided by the manufacturer, importer or authorized representative accompanying the product in question.

(10)

It is appropriate to include in the scope of the Regulation local space heaters placed on the market without a temperature control, including self-regulating heating cables and mats. This would bring energy savings and very importantly, would remove the legal loophole whereby local space heaters can be placed on the market either without control or with controls that are sold separately, in order to sidestep the application of the ecodesign requirements.

(11)

In order to cover the relevant types of local space heaters placed on the market, ecodesign requirements should be set for the following categories of domestic local space heaters: open-fronted local space heaters; open-to-chimney local space heaters; closed fronted open combustion local space heaters; balanced flue local space heaters; electric portable local space heaters; electric fixed local space heaters; electric storage local space heaters; electric underfloor local space heaters; electric visibly glowing radiant local space heaters; electric visibly glowing radiant portable local space heaters; luminous local space heaters; tube local space heaters; towel rails and flueless heaters.

(12)

Fixed local space heaters and electric visibly glowing radiant local space heaters span a wide range of products of different sizes and heat output. More stringent ecodesign requirements should be set for products providing larger heat outputs and therefore consuming more energy, within the same product category.

(13)

Electric visibly glowing radiant local space heaters feature heating elements at high temperatures that may be reached from the outside and could therefore accidentally get in touch with flammable elements. For this reason electric visibly glowing radiant portable local space heaters, which can be moved from one place to another, should only be operated manually and should subsequently not be subject to energy efficiency levels requiring the fitting of automatic controls allowing the product to turn itself on and to remain active in the absence of human intervention.

(14)

In order to increase the representativeness and relevance of ecodesign requirements as regards commercial local space heaters available on the market, luminous local space heaters and tube local space heaters of 300 kW or less should be subject to this Regulation’s requirements.

(15)

Controls placed on the market separately from local space heaters should be subject to relevant ecodesign requirements as to avoid undermining ecodesign potential to reduce energy consumption.

(16)

Towel rails are not only intended to heat or dry towels. They are also able to heat the space in which they are placed contributing to thermal comfort by acting as local space heaters. To create a levelled playing field for manufacturers independent of whether or not they place them on the market as local space heaters, all such products should be subject to ecodesign requirements to save more energy.

(17)

Towel rails’ main use is dependent on the heat output of the product. Towel rails with medium to high heat output would contribute to thermal comfort, thus heating or drying towels only being a secondary use, whereas towel rails with low heat output would be mostly used to heat or dry towels, with only a small quantity of heat contributing to thermal comfort. The level of stringency of ecodesign requirements should therefore be adapted to the main use of the product, determined by its heat output.

(18)

Commission Delegated Regulation (EU) 2023/807 (5) establishes a primary energy factor for electricity of 1,9 (conversion coefficient) to be applied when energy savings are calculated in primary energy terms based on final energy consumption. This primary energy factor should be applied when calculating the seasonal space heating energy efficiency for electric local space heaters.

(19)

All low power modes currently implemented in local space heaters generate additional energy consumption. Specific ecodesign requirements for low power modes, including idle mode or networked standby mode, should be set out in this Regulation both for local space heaters and separate controls.

(20)

It is appropriate that application of more stringent requirements for low power modes for local space heaters and separate controls occurs concurrently with those set for power consumption in off-mode under Commission Regulation (EU) 2023/826 (6).

(21)

Ecodesign measures should only be implemented at Union level since they apply directly to the product in question, uniformity of which needs to be ensured to avoid a situation where different national rules undermine the internal market for that product.

(22)

The Commission’s Circular Economy Action Plan (7) and the Ecodesign and Energy Labelling Working Plan 2022-2024 underline the importance of using the ecodesign framework to support the move to a more resource-efficient and circular economy. This Regulation should therefore lay down appropriate circularity-related requirements ensuring that products are effectively repaired thanks to the availability of a range of spare parts, setting maximum delivery time for spare parts and specifying what repair and maintenance information is to be given to professional repairers and end-users. Local space heaters should also be designed in a way that facilitates the recovery of materials and components.

(23)

The transitional period for introducing the new ecodesign requirements should be sufficient for manufacturers to adapt local space heaters to those requirements. The period should take into account any cost impact for manufacturers, in particular small and medium-sized enterprises, while ensuring this Regulation’s objectives are achieved.

(24)

Essential characteristics of local space heaters as regards ecodesign should be measured and calculated using reliable, accurate and reproducible measurement and calculation methods including, if available, harmonised standards adopted by the European standardisation organisations following a request by the Commission in accordance with the procedures laid down in Regulation (EU) No 1025/2012 of the European Parliament and of the Council (8). In the absence of harmonised standards, the transitional methods set out in Annex IV should be used for supporting verification of compliance of local space heaters with this Regulation. When harmonised standards are adopted, Annex IV to this Regulation should be repealed.

(25)

The calculation of the energy efficiency of local space heaters in regard of the heat output losses and the recovery of heat output by means of controls, should be representative of the real physical effect taking place when a local space heater is active. The losses and recovery of heat output should therefore be based on factors multiplying the final energy rather than subtracted from the primary energy.

(26)

To ensure the effectiveness of the Regulation and to protect consumers, the alteration of the performance of local space heaters in test conditions to improve the declared values as regards ecodesign should not be allowed. This includes, but is not limited to, local space heaters designed to detect they are being tested by recognising the test conditions or test cycle and to automatically alter their behaviour or properties as a result, and local space heaters pre-set to alter their behaviour or properties at the time of testing. It also includes prescribing the manual alteration of a local space heater in preparation for testing that alters its behaviour or properties for normal use. For the same reasons, software updates of local space heaters should not worsen the declared characteristics.

(27)

In order to ensure that devices are able to be effectively repaired, a range of spare parts should be available to professional repairers or end users. Also the price of spare parts should be reasonable and should not discourage repair. To create transparency and incentivise the setting of reasonable prices, the indicative pre-tax price for spare parts provided pursuant to this Regulation should be accessible on a free access website.

(28)

In accordance with Article 8(2) of Directive 2009/125/EC, this Regulation should specify which conformity assessment procedures apply.

(29)

To facilitate compliance checks, manufacturers should provide the information in the technical documentation referred to in Annexes IV and V to Directive 2009/125/EC if that information relates to the requirements in this Regulation.

(30)

In addition to the legally binding requirements in this Regulation, indicative benchmarks for the best available technologies should be determined to ensure that information on the life-cycle environmental performance of local space heaters is widely available and easily accessible.

(31)

This Regulation should be reviewed to assess the appropriateness of its provisions for achieving, and their effectiveness in achieving, its goals. The timing of the review should be sufficient for all provisions to be applied and have an effect on the market.

(32)

The measures provided for in this Regulation are in accordance with the opinion of the Committee established under Article 19(1) of Directive 2009/125/EC,

HAS ADOPTED THIS REGULATION:

Article 1

Subject matter and scope

1.   This Regulation lays down ecodesign requirements for the placing on the market and putting into service of domestic local space heaters with a nominal heat output of 50 kW or less and commercial local space heaters with a nominal heat output of the product or a single tube segment heat output of 300 kW or less. This Regulation also lays down ecodesign requirements for separate related controls.

2.   This Regulation shall not apply to:

(a)

local space heaters using a vapour compression cycle or sorption cycle for the generation of heat driven by electricity or fuel;

(b)

local space heaters designed, tested, marketed and declared exclusively for outdoor use;

(c)

local space heaters of which the direct heat output is less than 6 % of the combined direct heat output and indirect heat output at nominal heat output;

(d)

air heating products;

(e)

sauna stoves;

(f)

cooking appliances.

3.   Manufacturers, importers or authorised representatives shall not consider a product to fall outside the scope of this Regulation on the basis of paragraph 2, if the design, the technical characteristics, the intended use, the marketing claims or any other information provided by the manufacturer, importer or authorised representative accompanying that product do not sufficiently distinguish it from local space heaters covered by this Regulation.

Article 2

Definitions

For the purposes of this Regulation, the following definitions shall apply:

(1)

‘local space heater’ means a device equipped with one or more heat generators to convert electricity from the mains or gaseous or liquid fuels directly into heat output to provide thermal comfort for human beings in the enclosed space in which it is situated by direct heat transfer, possibly combined with heat output to other spaces or with heat transfer to a fluid;

(2)

‘domestic local space heater’ means a local space heater other than a commercial local space heater;

(3)

‘nominal heat output’ (Pnom) means the heat output of a local space heater comprising both direct heat output and indirect heat output (where applicable), when operating at the setting for the maximum heat output that can be maintained over an extended period, as declared by the manufacturer, expressed in kW;

(4)

‘commercial local space heater’ means either a luminous local space heater or a tube local space heater;

(5)

‘luminous local space heater’ means a gaseous fuel local space heater or a liquid fuel local space heater equipped with a burner, to be installed above head level directed towards the place of use so that the heat emitted by the burner, being predominantly infrared radiation, directly warms the people to be heated, being the products of combustion evacuated in the space where the heater is placed;

(6)

‘tube local space heater’ means a gaseous fuel or liquid fuel local space heater equipped with a burner, to be installed above head level near the people to be heated, that heats the space primarily by infrared radiation from the tube(s) or strip(s) heated by the internal passage of products of combustion, being the products of combustion evacuated through a flue duct;

(7)

‘tube segment’ means a part of a tube local space heater that comprises all the elements needed for stand-alone operation and can therefore be tested independently of the other tube heating system parts;

(8)

‘tube segment heat output’ means the heat output of a tube segment which together with other tube segments forms part of a configuration of a tube heater system, expressed in kW;

(9)

‘tube heater system’ means a tube local space heater comprising more than one single tube segment, of which the products of combustion of one tube segment may feed into the next tube segment, and of which the products of combustion of multiple tube segments are to be evacuated by a single exhaust fan;

(10)

‘direct heat output’ means the heat output of the product by radiation and convection of heat, as emitted by or from the product itself to air, excluding the heat output of the product to a heat transfer fluid, expressed in kW;

(11)

‘indirect heat output’ means the heat output of the product to a heat transfer fluid by the same heat generation process that provides the direct heat output of the product, expressed in kW;

(12)

‘air heating product’ means an air heating product as defined in Article 2, point (1), of Commission Regulation (EU) 2016/2281 (9);

(13)

‘sauna stove’ means a space heating product, designed, tested, marketed and declared exclusively to be used in, dry or wet sauna’s or similar environments;

(14)

‘cooking appliance’ means an appliance or part of it that incorporates one or more cavities using electricity, gas or both, to prepare food by means of a conventional or fan-forced mode;

(15)

‘gaseous fuel local space heater’ means a local space heater using gaseous fuel;

(16)

‘liquid fuel local space heater’ means a local space heater using liquid fuel;

(17)

‘equivalent model’ means a model placed on the market with the same technical parameters set out in Annex II, Table 1, Table 2, Table 3, Table 4, Table 5 or Table 6 as another model placed on the market by the same manufacturer;

(18)

‘control’ means the equipment that provides one or more control functions and that interfaces with the end-user to regulate the heat output of a local space heater in scope of this Regulation;

(19)

‘control function’ means each of the different control functions according to Table 10 and Table 11 of Annex III for the control of a local space heater;

(20)

‘separate related control’ means a control intended to be used with local space heaters in scope of this Regulation but placed on the market separately;

(21)

‘declared values’ means the values provided by the manufacturer, importer or authorised representative for the stated, calculated or measured technical parameters in accordance with Article 4, for the verification of compliance by the Member State authorities;

(22)

‘model identifier’ means the code, usually alphanumeric, which distinguishes a specific product model from other models with the same trade mark or the same manufacturer’s, importer’s or authorised representative’s name.

Article 3

Ecodesign requirements

1.   Local space heaters and separate related controls referred to in Article 1, shall meet the ecodesign requirements set out in Annex II.

2.   Compliance with ecodesign requirements shall be measured and calculated in accordance with the methods set out in Annex III and Annex IV.

Article 4

Conformity assessment

1.   The conformity assessment procedure referred to in Article 8(2) of Directive 2009/125/EC shall be the internal design control set out in Annex IV to that Directive or the management system for assessing conformity set out in Annex V to that Directive.

2.   For the purposes of the conformity assessment pursuant to Article 8 of Directive 2009/125/EC, the technical documentation shall contain the declared values of the parameters listed in point 6 of Annex II to this Regulation and the details and results of the calculations undertaken in accordance with Annex III to this Regulation.

3.   Where the information included in the technical documentation for a particular model has been obtained from either of the following means, the technical documentation shall include the details of the calculation, the assessment undertaken by the manufacturer to verify the accuracy of the calculation and, where appropriate, the declaration of identity between the models of different manufacturers:

(a)

from a model that has the same technical characteristics relevant for the technical information to be provided but is produced by a different manufacturer, or

(b)

by calculation on the basis of design or extrapolation from another model of the same or a different manufacturer, or both.

4.   The technical documentation shall include a list of all equivalent models, including the model identifier.

Article 5

Verification procedure for market surveillance purposes

Member States shall apply the verification procedure set out in Annex V to this Regulation when performing the market surveillance checks referred to in Article 3(2) of Directive 2009/125/EC.

Article 6

Circumvention

1.   Manufacturers, importers or authorised representatives shall not place on the market or put into service local space heaters or separate related controls designed to alter their behaviour or properties when being tested, in order to obtain a more favourable result for any of the declared values of the parameters set out in this Regulation.

2.   Manufacturers, importers or authorised representatives shall not prescribe test instructions, specifically for when local space heaters or separate related controls are being tested, that have the effect of altering the behaviour or properties of those heaters or of those separate related controls in order to obtain a more favourable result for any of the declared values of the parameters set out in this Regulation.

3.   Manufacturers, importers or authorised representatives shall not place on the market or put into service local space heaters or separate related controls designed to alter their behaviour or properties within a short period after being put into service resulting in a degrading of any of the declared values of the parameters set out in this Regulation.

Article 7

Software updates

1.   Software or firmware updates shall not worsen any declared value for the parameters of a local space heater or separate related control when measured using the testing method applicable at the time of them being placed on the market or put into service.

2.   No change of any declared value for the parameters of a local space heater or separate related control when measured using the testing method applicable at the time of them being placed on the market or put into service shall occur as a result of rejecting the update.

Article 8

Indicative benchmarks

The indicative benchmarks for the best-performing local space heaters available on the market at the time of the entry into force of this Regulation are set out in Annex VI.

Article 9

Review

By 9 May 2029, the Commission shall review this Regulation in the light of technological progress and shall present the results of that review including, if appropriate, a draft revision proposal, to the Consultation Forum.

In particular, the review shall assess:

whether it is appropiate to set stricter ecodesign requirements for energy efficiency and pollutant emissions;

whether the verification tolerances should be modified;

the validity of the correction factors used to assess the seasonal space heating energy efficiency of local space heaters;

whether it is appropriate to introduce third party certification;

whether it is appropriate to include into the scope of this Regulation local space heaters for outdoor use only, sauna stoves and software controls;

whether it is appropriate to set additional resource efficiency requirements in accordance with the objectives of the circular economy, including whether more spare parts should be available, whether critical raw material requirements should be set, whether additional requirements for the availability of spare parts should be set;

whether the lifetime of local space heaters has decreased due to the introduction of more advanced controls and the appropriateness of revising the requirements related to controls and their application to ensure the longest possible lifetime;

whether it is appropriate to set additional requirements for the upgradeability of controls.

Article 10

Repeal

Regulation (EU) 2015/1188 is repealed as of 1 July 2025.

Article 11

Entry into force and application

This Regulation shall enter into force on the twentieth day following that of its publication in the Official Journal of the European Union.

It shall apply from 1 July 2025.

However, Article 6 shall apply from 9 May 2024.

This Regulation shall be binding in its entirety and directly applicable in all Member States.

Done at Brussels, 18 April 2024.

For the Commission

The President

Ursula VON DER LEYEN


(1)   OJ L 285, 31.10.2009, p. 10.

(2)  Proposal for a Directive of the European Parliament and of the Council on energy efficiency (recast) (COM(2021) 558 final of 14.7.2021).

(3)  Communication from the Commission, Ecodesign and Energy labelling Working Plan 2022-2024 (2022/C 182/01) (C/2022/2026) (OJ C 182, 4.5.2022, p. 1).

(4)  Commission Regulation (EU) 2015/1188 of 28 April 2015 implementing Directive 2009/125/EC of the European Parliament and of the Council with regard to ecodesign requirements for local space heaters (OJ L 193, 21.7.2015, p. 76).

(5)  Commission Delegated Regulation (EU) 2023/807 of 15 December 2022 on revising the primary energy factor for electricity in application of Directive 2012/27/EU of the European Parliament and of the Council (OJ L 101, 14.4.2023, p. 16).

(6)  Commission Regulation (EU) 2023/826 of 17 April 2023 laying down ecodesign requirements for off mode, standby mode, and networked standby energy consumption of electrical and electronic household and office equipment pursuant to Directive 2009/125/EC of the European Parliament and of the Council and repealing Commission Regulations (EC) No 1275/2008 and (EC) No 107/2009 (OJ L 103, 18.4.2023, p. 29).

(7)  Communication from the Commission to the European Parliament, the Council, the European Economic and Social Committee and the Committee of the Regions. A new Circular Economy Action Plan (COM(2020) 98 final of 11.3.2020).

(8)  Regulation (EU) No 1025/2012 of the European Parliament and of the Council of 25 October 2012 on European standardisation, amending Council Directives 89/686/EEC and 93/15/EEC and Directives 94/9/EC, 94/25/EC, 95/16/EC, 97/23/EC, 98/34/EC, 2004/22/EC, 2007/23/EC, 2009/23/EC and 2009/105/EC of the European Parliament and of the Council and repealing Council Decision 87/95/EEC and Decision No 1673/2006/EC of the European Parliament and of the Council (OJ L 316, 14.11.2012, p. 12).

(9)  Commission Regulation (EU) 2016/2281 of 30 November 2016 implementing Directive 2009/125/EC of the European Parliament and of the Council establishing a framework for the setting of ecodesign requirements for energy-related products, with regard to ecodesign requirements for air heating products, cooling products, high temperature process chillers and fan coil units (OJ L 346, 20.12.2016, p. 1).


ANNEX I

Definitions for the purpose of Annexes II to VI

For the purpose of Annexes II to VI, the following definitions shall apply:

(1)

‘seasonal space heating energy efficiency’ (ηs) means the ratio between the space heating demand, supplied by a local space heater and the annual energy consumption required to meet this demand, expressed in %;

(2)

‘open fronted local space heater’ means a gaseous fuel local space heater or liquid fuel local space heater, which combustion chamber is open to the room in which the local space heater is located and which is connected to a flue duct for the evacuation of the products of combustion;

(3)

‘open to chimney local space heater’ means a gaseous fuel or liquid fuel local space heater intended to sit under a chimney or in a fireplace without sealing between the product and the chimney or fireplace opening, and allowing the products of combustion to pass unrestricted from the fire bed to the chimney or flue;

(4)

‘closed fronted open combustion local space heater’ means a gaseous fuel local space heater or liquid fuel local space heater, which combustion chamber is separated from the space in which the local space heater is located by a pane or similar although it takes the air for combustion from that space, and which is connected to a flue duct for the evacuation of the products of combustion;

(5)

‘balanced flue local space heater’ means a gaseous fuel local space heater or liquid fuel local space heater which combustion chamber is sealed from the room where the heater is located and which is connected to a pipe consisting of two concentric flue ducts, the outer flue duct providing the air for combustion from outside of the building and the inner flue duct evacuating the combustion gases also outside the building;

(6)

‘electric portable local space heater’ means an electric local space heater, except electric visibly glowing radiant portable local space heater, equipped with a cord supply and plug by the manufacturer, designed to be moved between rooms according to the heating needs of the user and that does not need to be secured to a specific location;

(7)

‘electric local space heater’ means a local space heater using the electric Joule effect to generate heat;

(8)

‘electric visibly glowing radiant local space heater’ means an electric local space heater in which the heating element is visible from outside the heater and has a temperature of at least 650 oC in normal use;

(9)

‘electric visibly glowing radiant portable local space heater’ means an electric visibly glowing radiant local space heater equipped with a cord supply and plug by the manufacturer, designed to be moved between rooms according to the heating needs of the user and that does not need to be secured to a specific location. Electric visibly glowing radiant local space heaters with features that can be used to fix them to a ceiling, wall or floor are considered electric visibly glowing radiant local space heaters; the fitting of wheels shall not be sufficient for an electric visibly glowing radiant local space heater to be considered as portable;

(10)

‘electric fixed local space heater’ means an electric local space heater other than an electric storage local space heater or an electric underfloor local space heater designed to be used while fastened or secured in a specific location or wall mounted; a portable appliance with features that can be used to fix it to a wall or to the floor, or both, is considered an electric fixed local space heater;

(11)

‘electric storage local space heater’ means an electric local space heater designed to store heat in an accumulating isolated core and to discharge it for several hours after the accumulation phase;

(12)

‘electric underfloor local space heater’ means an electric local space heater designed to be embedded in the building structure or in the building finishing, including self-regulating heating cables and mats;

(13)

‘towel rail’ means an electric fixed local space heater the design of which allows towels to be held for the purpose of warming them;

(14)

‘electronic heat charge control with room and/or outdoor temperature feedback’ means an automatically operated sensing device integrated into the product which measures its core temperature and varies the accumulated amount of heat in relation with either the outdoor temperature or the heat demand of the room, or both;

(15)

‘fan assisted heat output’ means the product is equipped with an integrated and controllable fan (or fans) to vary the output of the stored energy according to the heat demand;

(16)

‘emissions of nitrogen oxides’ means the emissions of nitrogen oxides (NOx) at nominal heat output expressed in mg/kWhinput based on GCV for gaseous fuel local space heaters or liquid fuel local space heaters;

(17)

‘gross calorific value moisture free’ (GCV) means the total amount of heat released by a unit quantity of fuel dried of inherent moisture, when it is burned completely with oxygen, and when the products of combustion are returned to ambient temperature; this quantity includes the condensation heat of the water vapour formed by the combustion of any hydrogen contained in the fuel;

(18)

‘flueless local space heater’ means a gaseous fuel local space heater or liquid fuel local space heater other than a commercial local space heater, which emits the products of combustion into the space where the product is situated;

(19)

‘off mode’ means a mode in which the product is connected to the mains power source and is not providing any function, or it is in a condition providing only:

(a)

an indication of off-mode condition;

(b)

functionalities intended to ensure electromagnetic compatibility pursuant to Directive 2014/30/EU of the European Parliament and of the Council (1);

(20)

‘standby mode’ means a condition where the product is connected to the mains power source and provides only one or more of the following functions, which may persist for an indefinite time:

(a)

reactivation function, or reactivation function and indication of enabled reactivation function;

(b)

reactivation function through a connection to a network (‘networked standby’);

(c)

information or status display;

(21)

‘reactivation function’ means a function that via a remote switch, a remote control, an internal sensor or timer provides a switch from standby mode to another mode, including active mode, providing additional functions;

(22)

‘active mode’ means a condition in which the product is connected to the mains power source and at least one of the main functions providing the intended service of the equipment has been activated;

(23)

‘idle mode’ means a condition in which the product is connected to the mains power source and is able to automatically provide heat to the room according to the setpoint temperature;

(24)

‘network’ means a communication infrastructure with a topology of links, an architecture, including the physical components, organisational principles, communication procedures and formats (protocols);

(25)

‘indirect heating functionality’ means the product is capable of transferring part of the total heat output to a heat transfer fluid, for use as space heating or domestic hot water generation;

(26)

‘minimum heat output’ (Pmin) means the heat output of a local space heater comprising both direct heat output and indirect heat output (where applicable), when operating at the setting for the lowest heat output, as declared by the manufacturer, expressed in kW;

(27)

‘useful efficiency’, at either ‘nominal’ or ‘minimum heat output’ (ηth,nom or ηth,min respectively) means the ratio of the useful heat output and the total energy input of a local space heater, expressed in %, whereby:

(a)

for domestic local space heaters the total energy input is expressed in terms of NCV and/or in terms of final energy multiplied by CC;

(b)

for commercial local space heaters the total energy input is expressed in terms of GCV and in terms of final energy multiplied by CC;

(28)

‘net calorific value’ (NCV) means the total amount of heat released by a unit quantity of fuel with the appropriate moisture content, when it is burned completely with oxygen, and when the products of combustion are not returned to ambient temperature;

(29)

‘conversion coefficient’ (CC) means the default coefficient for primary energy per kWh electricity referred to in Directive 2012/27/EU of the European Parliament and of the Council (2); the value of the conversion coefficient is CC = 1,9;

(30)

‘moisture content’ means the mass of water in the fuel in relation to the total mass of the fuel as used in the local space heater;

(31)

‘auxiliary electricity consumption at nominal heat output’ (elmax) means the electric power consumption of the local space heater while providing the nominal heat output. The electric power consumption shall be established without consideration of the power consumption of a circulator in case the product offers indirect heating functionality and a circulator is incorporated, expressed in kW;

(32)

‘auxiliary electricity consumption at minimum heat output’ (elmin) means the electric power consumption of the local space heater while providing the minimum heat output. The electric power consumption shall be established without consideration of the power consumption of a circulator in case the product offers indirect heating functionality and a circulator is incorporated, expressed in kW;

(33)

‘single stage heat output, no room temperature control’ means the product is not capable of varying its heat output automatically and that no feedback of room temperature is present to adapt the heat output automatically;

(34)

‘two or more manual stages, no room temperature control’ means the product is capable of varying its heat output manually by two or more levels of heat output and is not equipped with a device that automatically regulates the heat output in relation to a desired indoor temperature;

(35)

‘mechanic thermostat room temperature control’ means a non-electronic device that allows the product to automatically vary its heat output over a certain time period, in relation to a certain required level of indoor heating comfort;

(36)

‘electronic room temperature control’ means an electronic device, either integrated or external, that allows the product to automatically vary its heat output over a certain time period, in relation to a certain required level of indoor heating comfort;

(37)

‘electronic room temperature control plus day timer’ means an electronic device, either integrated or external, that allows the product to automatically vary its heat output over a certain time period and in relation to a certain required level of indoor heating comfort according to settings entered by the user, allowing the user to set timing and temperature level for a 24-hours timer interval;

(38)

‘electronic room temperature control plus week timer’ means an electronic device, either integrated or external, that allows the product to automatically vary its heat output over a certain time period and in relation to a certain required level of indoor heating comfort according to settings entered by the user, allowing the user to set timing and temperature levels for a full week. During the 7-day period the settings must allow a variation on a day-to-day basis;

(39)

‘room temperature control, with presence detection’ means an electronic device, either integrated or external, that automatically reduces the set-point for the room temperature when no person is detected in the room;

(40)

‘room temperature control, with open window detection’ means an electronic device, either integrated or external, that automatically either switches to frost protection mode or limits the energy consumption of the local space heater to the level of energy consumption of the idle mode when a window or door has been opened. Whenever a sensor is used to detect the opening of a window or door, it can be installed with the product, externally to the product, built into the building structure or as a combination of those options;

(41)

‘frost protection mode’ means a function where the local space heater maintains an indoor temperature of 7 °C±3 oC;

(42)

‘distance control option’ means a function that allows remote interaction from outside the building in which the local space heater is installed with the control of the product;

(43)

‘adaptive start control’ means a function which predicts and initiates the optimal start of heating up in order to reach the setpoint zone temperature at the desired time;

(44)

‘setpoint zone temperature’ means the desired temperature set by the user;

(45)

‘working time limitation’ means a function that automatically deactivates the local space heater after a pre-set period of time;

(46)

‘black bulb sensor’ means an electronic device, either integrated or external, that measures air and radiant temperature;

(47)

‘self-learning’ means a function that automatically captures the user’s use patterns of the local space heater, and based on those patterns auto-programmes periods of high and low temperatures;

(48)

‘control accuracy’ (CA) means the degree of ability of the control of a local space heater to react to changes in the zone temperature in order to keep that zone temperature as close as possible to the setpoint zone temperature;

(49)

‘zone temperature’ means the actual temperature of the enclosed space to be heated;

(50)

‘permanent pilot flame power requirement’ (Ppilot) means the gaseous or liquid fuel consumption of the local space heater for the provision of a flame to serve as an ignition source for the more powerful combustion process needed for nominal or part load heat output, when lit for more than 5 minutes before the main burner is on, expressed in kW;

(51)

‘maximum continuous heat output’ (Pmax,c) means the heat output of an electric local space heater when operating at the setting for the maximum heat output that can be maintained continuously over an extended period, as declared by the manufacturer, expressed in kW;

(52)

‘tube system heat output’ means the combined tube segment heat output of the configuration as it is placed on the market, expressed in kW;

(53)

‘radiant factor’, at either ‘nominal’ or ‘minimum heat output’ (RFnom or RFmin respectively) means the ratio of the infrared heat output of the local space heater compared to the total energy input, expressed in %;

(54)

‘envelope insulation’ means the level of thermal insulation of the product envelope or jacket as applied to minimise heat losses if the product is allowed to be placed outdoors;

(55)

‘envelope loss factor’ means the thermal losses by that part of the product that is installed outside the enclosed space to be heated and which is determined by the transmittance of the relevant envelope of that part, expressed in %;

(56)

‘single stage’ means that the product is not capable of automatically varying its heat output;

(57)

‘two stage’ means the product is capable of automatically regulating its heat output in two distinct levels, in relation to the actual indoor air temperature and a desired indoor air temperature, controlled through temperature sensing devices and an interface which is not necessarily integral to the product itself;

(58)

‘modulating’ means the product is capable of automatically regulating its heat output in three or more distinct levels, in relation to the actual indoor air temperature and a desired indoor air temperature, controlled through temperature sensing devices and an interface which is not necessarily integral to the product itself;

(59)

‘control to setpoint deviation’ (CSD) means the difference between the mean zone temperature measured over a period of time and the setpoint zone temperature;

(60)

‘spare part’ means a separate part that can replace a part with the same or similar function in a product;

(61)

‘professional repairer’ means an operator or undertaking which provides services of repair and professional maintenance of local space heaters;

(62)

‘guarantee’ means any undertaking by the dealer or a manufacturer to the consumer to either reimburse the price paid or replace, repair or handle the local space heater in any way if they do not meet the specifications set out in the guarantee statement or in the relevant advertising.


(1)  Directive 2014/30/EU of the European Parliament and of the Council of 26 February 2014 on the harmonisation of the laws of the Member States relating to electromagnetic compatibility (OJ L 96, 29.3.2014, p. 79).

(2)  Directive 2012/27/EU of the European Parliament and of the Council of 25 October 2012 on energy efficiency, amending Directives 2009/125/EC and 2010/30/EU and repealing Directives 2004/8/EC and 2006/32/EC (OJ L 315, 14.11.2012, p. 1).


ANNEX II

Ecodesign requirements referred to in Article 3

1.   REQUIREMENTS FOR SEASONAL SPACE HEATING ENERGY EFFICIENCY

(1)

Local space heaters shall meet the following requirements:

(a)

seasonal space heating energy efficiency of open fronted local space heaters and open to chimney local space heaters shall not be less than 40,3%;

(b)

seasonal space heating energy efficiency of closed fronted open combustion local space heaters shall not be less than 63,6%;

(c)

seasonal space heating energy efficiency of balanced flue local space heaters shall not be less than 63,6%;

(d)

seasonal space heating energy efficiency of electric portable local space heaters shall not be less than 44,7%;

(e)

seasonal space heating energy efficiency of electric fixed local space heaters with a nominal heat output above 250 W, except towel rails, shall not be less than 47,5%;

(f)

seasonal space heating energy efficiency of electric fixed local space heaters with a nominal heat output equal or below 250 W, except towel rails, shall not be less than 43,1%;

(g)

seasonal space heating energy efficiency of electric storage local space heaters shall not be less than 47,3%;

(h)

seasonal space heating energy efficiency of electric underfloor local space heaters shall not be less than 47,5%;

(i)

seasonal space heating energy efficiency of electric visibly glowing radiant local space heaters with a nominal heat output above 1,2 kW, except electric visibly glowing radiant portable local space heaters, shall not be less than 46,8%;

(j)

seasonal space heating energy efficiency of electric visibly glowing radiant local space heaters with a nominal heat output equal or below 1,2 kW, except electric visibly glowing radiant portable local space heaters, shall not be less than 40,5%;

(k)

seasonal space heating energy efficiency of electric visibly glowing radiant portable local space heaters shall not be less than 39,5%;

(l)

seasonal space heating energy efficiency of luminous local space heaters shall not be less than 90,0%;

(m)

seasonal space heating energy efficiency of tube local space heaters shall not be less than 80,0%.

(n)

seasonal space heating energy efficiency of towel rails with a nominal heat output above 250 W shall not be less than 46,0%;

(o)

seasonal space heating energy efficiency of towel rails with a nominal heat output above 60 W and equal or below 250 W shall not be less than 42,1%.

(2)

Electric storage local space heaters shall be equipped with electronic heat charge control with room and/or outdoor temperature feedback and fan assisted heat output.

(3)

Towel rails with a nominal heat output equal or below 60 W shall only be operable through a working time limitation with a maximum pre-set period of time no longer than 6 hours.

(4)

Electric local space heaters placed on the market without control shall not be able to provide heat output without control.

2.   REQUIREMENTS FOR EMISSIONS

Emissions of nitrogen oxides (NOx) from liquid and gaseous fuel local space heaters shall not exceed the following values, based on GCV:

(1)

emissions of NOx by open fronted local space heaters, open to chimney local space heaters, closed fronted open combustion local space heaters, balanced flue local space heaters and flueless local space heaters shall not exceed 120 mg/kWhinput;

(2)

emissions of NOx by luminous local space heaters and tube local space heaters shall not exceed 180 mg/kWhinput.

3.   REQUIREMENTS FOR LOW POWER MODES

Local space heaters with controls, and separate related controls, shall meet the following requirements:

(1)

they shall have an off-mode or a standby mode or both. The power consumption in off-mode (Po ) shall not exceed 0,50 W and the power consumption in standby mode (Psm ) shall not exceed 0,50 W; as from 9 May 2027, the power consumption in off-mode shall not exceed 0,30 W;

(2)

if the standby mode includes the display of information or status, the power consumption of that mode shall not exceed 1,00 W;

(3)

if the standby mode provides for a connection to a network and provides networked standby as defined in Article 2, point (10) of Regulation (EU) 2023/826, the power consumption of this mode (Pnsm ) shall not exceed 2,00 W; if the communication between the heat generator and the control is wireless or through powerline carrier the power consumption of this mode shall not exceed 3,00 W;

(4)

if they provide for an idle mode, the power consumption of the idle mode (Pidle ) shall not exceed 1,00 W as average over 1 hour, except if the idle mode depends on the input from a network connection to automatically provide heat to the room, in which case the power consumption shall not exceed 3,00 W as average over 1 hour.

4.   PRODUCT INFORMATION REQUIREMENTS

(1)

The instruction manuals for installers and users, and free access websites of manufacturers, their authorised representatives and importers, shall contain the following elements:

(a)

for gaseous fuel local space heaters or liquid fuel local space heaters, including flueless local space heaters and excluding commercial local space heaters, the information set out in Table 1 or, in case of local space heaters placed on the market without control, in Table 2 of this Annex, with the technical parameters measured and calculated in accordance with Annex III and showing the significant figures indicated in those tables;

(b)

for electric local space heaters, the information set out in Table 3 or, in case of local space heaters placed on the market without control, in Table 4 of this Annex, with its technical parameters measured and calculated in accordance with Annex III and showing the significant figures indicated in those tables;

(c)

for domestic local space heaters placed on the market without control, Table 7 as displayed in this Annex and without any modification;

(d)

for commercial local space heaters, the information set out in Table 5 of this Annex, with its technical parameters measured and calculated in accordance with Annex III and showing the significant figures indicated in that Table;

(e)

any specific precautions that shall be taken when the local space heater is assembled, installed or maintained;

(f)

information relevant to disassembly, recycling and/or disposal at end-of-life;

(g)

for local space heaters placed on the market without control, the information in Tables 2 and Table 4 shall be drawn up for at least one combination of local space heater and control functions that make the product compliant with this Regulation;

(h)

for separate related controls, Table 7 as displayed in this Annex and without any modification, and the information in Table 6.

(2)

The instruction manual for installers and users, free access websites of manufacturers, their authorised representatives and importers, and the product packaging shall incorporate the following product information in such a way to ensure clear visibility and legibility and in a language easily understood by the users of the Member State where the product is marketed:

(a)

for local space heaters placed on the market without control:

‘This product is a [insert product category in accordance with point 1(1) of this Annex] and, in order to be compliant with the mandatory ecodesign requirements set out in Commission Regulation (EU) 2024/1103, needs to be complemented with a control providing at least the following control functions:

 

[list of control function codes in accordance with the format according to Table 7. When several combinations of control functions are provided, each combination shall be placed in a different row. The format of the code is TC (f1/f2/f3/f4/f5/f6/f7/f8), where TC is the code for the F(2) function and f1 to f8 are the codes of the respective F(3) function if this function is present, or otherwise a ‘ ‘0’ ’]’;

(b)

for flueless local space heaters and open to chimney local space heaters only:

‘This product is not suitable for primary heating purposes’;

(i)

for the instruction manual for users this sentence shall be on the cover page of the manual;

(ii)

for free-access websites of manufacturers this sentence shall be displayed together with the other characteristics of the product;

(iii)

for the product packaging the sentence shall be placed in a prominent position on the packaging;

(c)

for electric portable local space heaters and electric visibly glowing radiant portable local space heaters:

‘This product is only suitable for well insulated spaces or occasional use.’;

(i)

for the instruction manual for users this sentence shall be on the cover page of the manual;

(ii)

for free-access websites of manufacturers this sentence shall be displayed together with the other characteristics of the product;

(iii)

for the product packaging the sentence shall be placed in a prominent position on the packaging.

(3)

For separate related controls the instruction manuals for installers and users free access websites of manufacturers, their authorised representatives and importers, and the product packaging shall incorporate the following product information in such a way to ensure clear visibility and legibility and in a language easily understood by the users of the Member State where the product is marketed:

‘This control has the following control functions’:

[list of control function codes in accordance with the format according to Table 7. The format of the code is TC (f1/f2/f3/f4/f5/f6/f7/f8), where TC is the code for the F(2) function and f1 to f8 are the codes of the respective F(3) function if this function is present, or otherwise a ‘0’].

(4)

The instructions manuals for installers and users, the free access websites of manufacturers, their authorised representatives and importers, and the product packaging may contain additional information about the characteristics of the product that may be useful to installers and users, including information about the compatibility of heaters and controls to fulfil the requirements in points 1 and 3 of this Annex.

5.   RESOURCE EFFICIENCY REQUIREMENTS

(1)

Availability of spare parts:

(a)

For all models, for which units are placed on the market as from 1 July 2025, manufacturers, importers or authorised representatives of electric local space heaters shall make available to professional repairers at least the following spare parts:

(i)

for electric portable local space heaters and electric visibly glowing radiant portable local space heaters:

control;

ambient thermostat (only for electric portable local space heaters);

motor for heaters equipped with a fan (only for electric portable local space heaters);

printed circuit boards;

display or status indicators;

impellers;

control sensors;

buttons and switches;

remote control sensors;

(ii)

for electric fixed local space heaters, towel rails and electric underfloor local space heaters:

control;

ambient thermostat;

floor sensor (only for electric underfloor local space heaters);

repair kit for heating cables (only for electric underfloor local space heaters);

fixation brackets, if needed;

printed circuit boards;

display or status indicators;

impellers;

control sensors;

buttons and switches;

remote control sensors;

(iii)

for electric storage local space heaters:

heating elements;

control;

safety switches;

connection cables;

housing for mechanical parts;

fixation brackets;

fans and impellers;

printed circuit boards;

display or status indicators;

control sensors;

buttons and switches;

remote control sensors;

(iv)

for electric visibly glowing radiant local space heaters, except electric visibly glowing radiant portable local space heaters:

control;

heating elements;

connection cables;

fixation brackets;

printed circuit boards;

display or status indicators;

impellers;

control sensors;

buttons and switches;

remote control sensors;

(b)

availability of spare parts referred to in point (a), shall be ensured for a minimum period starting at the latest on 1 July 2025 or two years after the placing on the market of the first unit of the model, whichever is the latest, and ending at least, 10 years after placing the last unit of the concerned model on the market. For this purpose, the list of spare parts and the procedure for ordering them shall be publicly available on the free access website of the manufacturer, importer or authorised representative, at least during the minimum period indicated above;

(c)

for all models, for which units are placed on the market as from 1 July 2025, manufacturers, importers or authorised representatives of local space heaters shall make available to professional repairers and users at least the following spare parts:

remote control;

(d)

availability of spare parts, under point (c), shall be ensured for a minimum period starting at the moment of placing that unit on the market and ending at least 10 years after placing the last unit of the concerned model on the market. For this purpose, the list of spare parts, the procedure for ordering them and the repair and maintenance information shall be publicly available on the free access website of the manufacturer, importer or authorised representative, at least during the minimum period indicated above;

(e)

manufacturers, importers or authorised representatives of local space heaters shall ensure that the spare parts mentioned in points (a) and (c) can be replaced with the use of commonly available tools and without permanent damage to the local space heater;

(f)

during the periods referred to in points (b) and (d), manufacturers, importers or authorised representatives shall provide indicative pre-tax prices at least in euro for spare parts listed in points (a) and (c), including the indicative pre-tax price of fasteners and tools, if supplied with the spare part on the free access website of the manufacturer, importer or authorised representative;

(g)

manufacturers, importers or authorised representatives of local space heaters using software shall make available software and firmware updates for a minimum of 10 years after placing the product on the market, and these updates shall be provided free of charge.

(2)

Maximum delivery time of spare parts:

During the period of availability of spare parts, the manufacturer, importer or authorised representative shall ensure the delivery of the spare parts within 10 working days after having received the order.

(3)

Access to repair and maintenance information:

During the period mentioned under point 1(b) the manufacturer, importer or authorised representative shall provide access to the appliance repair and maintenance information to professional repairers in the following conditions:

(a)

the manufacturer’s, importer’s or authorised representative’s website shall indicate the process for professional repairers to request access to information; in order to accept such a request, the manufacturers, importers or authorised representatives may only require the professional repairer to demonstrate that:

(i)

the professional repairer has the technical competence to repair local space heaters and complies with the applicable regulations for repairers of local space heaters in the Member States where it operates. Reference to an official registration system as professional repairer, where such system exists in the Member States concerned, shall be accepted as proof of compliance with this point;

(ii)

the professional repairer is covered by insurance covering liabilities resulting from its activity regardless of whether this is required by the Member State;

(b)

manufacturers, importers or authorised representatives shall accept or refuse the registration within 5 working days from the date of request;

(c)

manufacturers, importers or authorised representatives may charge reasonable and proportionate fees for access to the repair and maintenance information or for receiving regular updates. A fee is reasonable if it does not discourage access by failing to take into account the extent to which the professional repairer uses the information;

(d)

once registered, a professional repairer shall have access, within one working day after requesting it, to the requested repair and maintenance information. The information may be provided for an equivalent local space heater model or local space heater model of the same family, if relevant;

(e)

the repair and maintenance information shall include:

(i)

the unequivocal local space heater identification;

(ii)

a disassembly map or exploded view;

(iii)

technical manual of instructions for repair;

(iv)

list of necessary repair and test equipment;

(v)

component and diagnosis information (such as minimum and maximum theoretical values for measurements);

(vi)

wiring and connection diagrams;

(vii)

diagnostic fault and error codes (including manufacturer-specific codes, where applicable);

(viii)

instructions for installation of relevant software and firmware including reset software;

(ix)

information on how to access data records of reported failure incidents stored on the local space heater (where applicable); and

(x)

electronic board diagrams;

(f)

except for gaseous and liquid fuel local space heaters, without prejudice to intellectual property rights, third parties shall be allowed to use and publish unaltered repair and maintenance information initially published by the manufacturer, importer or authorised representative and covered by point (e) once the manufacturer, importer or authorised representative terminates access to that information after the end of the period of access to repair and maintenance information.

(4)

Requirements for dismantling for material recovery and recycling while avoiding pollution:

(a)

manufacturers, importers or authorised representatives shall ensure that local space heaters are designed in such a way that the materials and components referred to in Annex VII to Directive 2012/19/EU of the European Parliament and of the Council (1) can be removed from the appliance with the use of commonly available tools;

(b)

manufacturers, importers or authorised representatives shall fulfil the obligations laid down in Article 15(1) of Directive 2012/19/EU.

6.   TECHNICAL DOCUMENTATION

(1)

The technical documentation for local space heaters for the purposes of conformity assessment pursuant to Article 4 and of the verification procedure set out in Annex V shall contain the following elements:

(a)

the declared values of all parameters specified in Tables 1 to 5; for this purpose, the same layout of Tables 1 to 5 may be used;

(b)

a list of all equivalent models, if applicable;

(c)

all other elements indicated in Article 4, where applicable.

(2)

In case of local space heaters placed on the market without control, the information in tables 2 and 4 shall be drawn up for the combination(s) of local space heater and control functions according to point 4(1)(g);

(3)

The technical documentation for separate related controls for the purposes of conformity assessment pursuant to Article 4 and of the verification procedure set out in Annex V shall contain the following elements:

(a)

the declared values of all parameters specified in Table 6; for this purpose, the same layout of Table 6 may be used;

(b)

a list of all equivalent models, if applicable;

(c)

all other elements indicated in Article 4, where applicable.

Table 1: Information requirements for gaseous/liquid fuel local space heaters

Image 1

Table 2: Information requirements for gaseous/liquid fuel local space heaters placed on the market without control

Image 2

Table 3: Information requirements for electric local space heaters

Image 3

Table 4: Information requirements for electric local space heaters placed on the market without control

Image 4

Table 5: Information requirements for commercial local space heaters

Image 5

Table 6: Information requirements for separate related controls

Image 6

Table 7: Control function codes

 

 

Code of temperature control (TC)

Control functions

f1

f2

f3

f4

f5

f6

f7

f8

Type of temperature control

Single stage, no temperature control

NC

 

 

 

 

 

 

 

 

Two or more manual stages, no temperature control

TX

 

 

 

 

 

 

 

 

Mechanic thermostat room temperature control

TM

 

 

 

 

 

 

 

 

Electronic room temperature control

TE

 

 

 

 

 

 

 

 

Electronic room temperature control plus day timer

TD

 

 

 

 

 

 

 

 

Electronic room temperature control plus week timer

TW

 

 

 

 

 

 

 

 

Control functions

Presence detection

 

1

 

 

 

 

 

 

 

Open window detection

 

 

2

 

 

 

 

 

 

Distance control option

 

 

 

3

 

 

 

 

 

Adaptative start control

 

 

 

 

4

 

 

 

 

Working time limitation

 

 

 

 

 

5

 

 

 

Black bulb sensor

 

 

 

 

 

 

6

 

 

Self-learning functionality

 

 

 

 

 

 

 

7

 

Control accuracy with CA < 2 Kelvin and CSD < 2 Kelvin

 

 

 

 

 

 

 

 

8


(1)  Directive 2012/19/EU of the European Parliament and of the Council of 4 July 2012 on waste electrical and electronic equipment (WEEE) (OJ L 197, 24.7.2012, p. 38).


ANNEX III

Measurement methods and calculations referred to in Article 3

For the purposes of compliance and verification of compliance with the requirements of this Regulation, measurements and calculations shall be made using harmonised standards the reference numbers of which have been published for this purpose in the Official Journal of the European Union, or using other reliable, accurate and reproducible methods that take into account the generally recognised state-of-the-art methods.

1.   GENERAL CONDITIONS FOR MEASUREMENTS AND CALCULATIONS

(1)

Declared values for seasonal space heating energy efficiency shall be rounded to the nearest one decimal place.

(2)

For electric local space heaters, declared values for nominal heat output shall be rounded to the nearest third decimal place. For all other local space heaters, declared values for nominal heat output shall be rounded to the nearest one decimal place.

(3)

Declared values for emissions shall be rounded to the nearest integer.

(4)

Where a parameter is declared pursuant to Article 4, its declared value shall be used by the manufacturer, importer or authorised representative for the calculations in this Annex.

(5)

For gas and liquid fuel local space heaters except commercial local space heaters, the flue gas temperature and the combustion air temperature shall be measured for the minimum total flue duct pipe length declared by the manufacturer in the installation manual but not more than 1,5 meters (sum of vertical and horizontal pipe length). If no declaration is available the measurement shall be performed with a total pipe length of 1,5 meters.

(6)

For separate related controls the correct functioning of the control functions shall be checked.

2.   GENERAL CONDITIONS FOR SEASONAL SPACE HEATING ENERGY EFFICIENCY

(1)

The seasonal space heating energy efficiency (ηS ) shall be calculated as the seasonal space heating energy efficiency in active mode (ηS,on ), corrected by contributions accounting for heat output control, auxiliary electricity consumption and permanent pilot flame energy consumption.

(2)

For local space heaters that are placed on the market together with the control, the seasonal space heating energy efficiency shall be measured and calculated with the control contained in the packaging.

(3)

For local space heaters placed on the market without control, the seasonal space heating energy efficiency shall be measured and calculated for each different combination of local space heater and control functions indicated by the manufacturer, importer or authorised representative according to Annex II, point 4(2)(a).

3.   GENERAL CONDITIONS FOR EMISSIONS

For gaseous and liquid fuel local space heaters the emissions of nitrogen oxides (NOx) shall be calculated as the sum of the measured nitrogen monoxide and nitrogen dioxide, and expressed in nitrogen dioxide. The measurement of nitrogen oxides emissions shall be concurrent with the measurement of the space heating energy efficiency.

For declaration and verification purposes the emission at full load NOx(max) applies.

4.   SPECIFIC CONDITIONS FOR SEASONAL SPACE HEATING ENERGY EFFICIENCY

(1)

The seasonal space heating energy efficiency of local space heaters is defined as:

(a)

for gaseous fuel local space heaters and liquid fuel local space heaters, except commercial local space heaters:

Formula

where

η S is the seasonal space heating energy efficiency, expressed in %;

ηs,on is the seasonal space heating energy efficiency in active mode, expressed in %;

(b)

for electric local space heaters

Formula

where:

η S is the seasonal space heating energy efficiency, expressed in %;

ηs,on is the seasonal space heating energy efficiency in active mode, expressed in %;

CC is the conversion coefficient;

(c)

for commercial local space heaters

Formula

where:

η S is the seasonal space heating energy efficiency, expressed in %;

ηs,on is the seasonal space heating energy efficiency in active mode, expressed in %;

F(1) is a correction factor accounting for a negative contribution to seasonal space heating efficiency due to adjusted contributions for options for the heat output, expressed in %;

F(4) is a correction factor accounting for a negative contribution to the seasonal space heating energy efficiency by auxiliary electricity consumption, expressed in %;

F(5) is a correction factor accounting for a negative contribution to the seasonal space heating energy efficiency by energy consumption of a permanent pilot flame, expressed in %;

(2)

the seasonal space heating energy efficiency in active mode
Formula
is calculated as:

(a)

for all local space heaters except commercial local space heaters:

Formula

where:

η th,nom is the useful efficiency at nominal heat output, expressed in %.

for electric local space heaters,

Formula

for gaseous fuel local space heaters and liquid fuel local space heaters, η th,nom is the useful efficiency at nominal heat output based on NCV;

F(2) is a correction factor accounting for a positive contribution to the seasonal space heating energy efficiency due to adjusted contributions of controls of indoor heating comfort, the values of which are mutually exclusive, cannot be added to each other;

F(3) is a correction factor accounting for a positive contribution to the seasonal space heating energy efficiency due to adjusted contributions of controls for indoor heating comfort, the values of which can be added to each other;

F(4) is a correction factor accounting for a negative contribution to the seasonal space heating energy efficiency by auxiliary electricity consumption;

F(5) is a correction factor accounting for a negative contribution to the seasonal space heating energy efficiency by energy consumption of a permanent pilot flame;

(b)

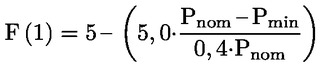
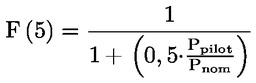
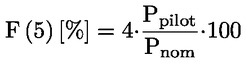
for commercial local space heaters:

Formula

where:

ηS,th is the weighted thermal efficiency, expressed in %;

ηS,RF is the emission efficiency, expressed in %;

(i)

the weighted thermal efficiency (ηS,th ) is calculated as follows:

for luminous local space heaters, ηS,th is 85,6%;

for tube local space heaters:

Formula

where:

ηth,nom is the thermal efficiency at nominal heat output, expressed in %, based on GCV;

ηth,min is the thermal efficiency at minimum heat output, expressed in %, based on GCV;

Fenv are the envelope losses of the heat generator, expressed in %;

if the heat generator of the tube local space heater is specified by the manufacturer to be installed in the indoor space to be heated, the envelope losses are 0 (zero);

if the heat generator of the tube local space heater is specified by the manufacturer to be installed outside the heated area, the envelope loss factor depends on the thermal transmittance of the envelope of the heat generator according to Table 8;

Table 8: Envelope loss factor of the heat generator

Thermal transmittance of envelope (U)

Fenv

U ≤ 0,5

2,2 %

0,5 < U ≤ 1,0

2,4 %

1,0 < U ≤ 1,4

3,2 %

1,4 < U ≤ 2,0

3,6 %

U>2,0

6,0 %

(ii)

the emission efficiency (ηS,RF ) is calculated as follows:

Formula

where RFS is the radiant factor of the commercial local space heater, expressed in %;

for all commercial local space heaters except tube heater systems:

Formula

where:

RFnom , is the radiant factor at nominal heat output, expressed in %;

RFmin , is the radiant factor at minimum heat output, expressed in %;

for tube heater systems:

Formula

where:

RFnom,i , is the radiant factor per tube segment at nominal heat output, expressed in %;

RFmin,i , is the radiant factor per tube segment at minimum heat output, expressed in %;

Pheater,i , is the heat output per tube segment, expressed in kW, based on GCV;

Psystem , is the heat output of the complete tube system, expressed in kW, based on GCV;

the above equation only applies if the construction of the burner, tubes and reflectors of the tube segment as applied in the tube heater system is identical to a single tube local space heater and the settings that determine the performance of the tube segment are identical to those of a single tube local space heater;

(3)

the correction factor F(1) is calculated as follows:

Table 9: Correction factor F(1) for commercial local space heaters

If the heat output control type of the products is:

F(1) [%]

With the following limits

Single stage

Formula

 

Two stage

Formula

)

2,5% ≤ F(1) ≤ 5,0%

Modulating

Formula

0% ≤ F(1) ≤ 5,0%

(4)

the correction factor F(2), is equal to one of the factors according to Table 10, depending on which control function applies. Only one value can be selected; the functions mentioned in Table 10 shall be activated and functional when the equipment is placed on the market or put into service and activated with its initial setup after the equipment is reset to its factory default settings;

Table 10: Correction factor F(2)

If the product is placed on the market with (only one option may apply)

F(2)

for electric local space heaters

for gaseous and liquid fuel local space heaters

Portable

Fixed

Storage

Underfloor

Visibly glowing radiant

Towel rails

single stage heat output, no room temperature control

0

0

0

0

0

0

0

two or more manual stages, no temperature control

0,025

0

0

0

0,050

0,030

0,025

with mechanic thermostat room temperature control

0,100

0,025

0,025

0,025

0,025

0,030

0,050

with electronic room temperature control

0,160

0,050

0,050

0,050

0,080

0,030

0,100

with electronic room temperature control plus day timer

0,170

0,095

0,095

0,095

0,100

0,095

0,125

with electronic room temperature control plus week timer

0,190

0,150

0,150

0,150

0,120

0,150

0,150

(5)

the correction factor F(3) is calculated as the summation of the values according to Table 11, depending on which control function(s) applies; the functions mentioned in Table 11 shall be activated and functional when the equipment is placed on the market or put into service and activated with its initial setup after the equipment is reset to its factory default settings;

Table 11: Correction factor F(3)

If the product is placed on the market with (multiple options may apply):

F(3)

for electric local space heaters

for gaseous and liquid fuel local space heaters

Portable

Fixed

Storage

Underfloor

Visibly glowing radiant

Towel rails

room temperature control with presence detection

0, 005

0

0

0

0,040

0

0,025

room temperature control with open window detection

0,005

0,020

0,020

0,020

0,020

0,020

0,025

with distance control option

0

0,020

0,020

0,020

0

0

0,025

with adaptive start control

0,005

0,020

0,020

0,020

0

0,020

0

with working time limitation

0,005

0

0

0

0,020

0,020

0

with black bulb sensor

0

0

0

0

0,040

0

0

with self-learning functionality

0

0,020

0,020

0,020

0,010

0,020

0,0125

Control accuracy with CA < 2 Kelvin and CSD < 2 Kelvin

0,020

0,020

0,020

0,020

0

0,020

0,0125

(6)

the correction factor F(4) is calculated as:

(a)

for gaseous and liquid fuel local space heaters except commercial local space heaters:

Formula

where:

elmax is the electric power consumption at nominal heat output, expressed in kW;

elmin is the electric power consumption at minimum heat output, expressed in kW. In case the product does not offer a minimum heat output, the value for the electric power consumption at nominal heat output shall be used;

Pnom is the nominal heat output of the product, expressed in kW;

(b)

for commercial local space heaters:

Formula

(c)

for electric local space heaters F(4) = 1;

(7)

the correction factor F(5) is calculated as follows:

(a)

for gaseous or liquid fuel local space heaters except commercial local space heaters:

Formula

where:

Ppilot is the pilot flame consumption, expressed in kW;

Pnom is the nominal heat output of the product, expressed in kW;

(b)

for commercial local space heaters:

Formula

where:

Ppilot is the pilot flame consumption, expressed in kW;

Pnom is the nominal heat output of the product, expressed in kW;

in case the product has no permanent pilot light (flame) Ppilot is 0 (zero);

(c)

For electric local space heaters F(5) = 1.

5.   LOW POWER MODES

(1)

The power consumption of the off mode (Po ), standby mode (Psm ), and where applicable the idle mode (P idle ) and the networked standby mode (Pnsm ) are measured, expressed in W and rounded to two decimal places.

During measurements of the power consumption in low power modes, the following functions shall be checked and recorded:

(a)

the display or not of information;

(b)

the activation or not of a network connection.

If the standby mode includes the display of information or status, this function shall also be provided when the networked standby is provided.

(2)

For separate related controls, the power consumption of the low power modes shall be measured at the mains voltage. If the power consumption of the low power modes can only be measured at a DC voltage level, the results of these measurements for each low power mode shall be multiplied with a factor 1,5, representing an average AC-DC power conversion of 67%, to arrive at the values that shall comply with the requirements for low power modes.

6.   CONTROL ACCURACY AND CONTROL TO SETPOINT DEVIATION

For local space heaters and for separate related controls, CA and CSD shall be measured whenever the manufacturer declares a CA < 2K and a CSD < 2K.


ANNEX IV

Transitional methods referred to in Article 3

Gaseous fuel local space heaters, except luminous heaters and tube heaters

Parameter

ESO

Reference/ Title

Notes

Direct heat output

CEN

EN 613:2021 § 7.11

EN 1266:2002 § 7.12.

EN 13278:2013 Open fronted gas-fired independent space heaters § 6.3.1 & § 6.12 & § 7.12 & § 7.3.1

EN 449:2002+A1:2007

This is the heat output to the space the product is installed in.

It shall be calculated with the equation Direct heat output = Qn * η, where Qn is the nominal heat input and η is the nominal efficiency. Direct heat output shall be calculated as gross calorific value.

Indirect heat output

CEN

 

The indirect heat output of gaseous fuel local space heaters is not described in EN standards.

For the purpose of declaration and verification the principles as applied in EN 16510-1 may be used

Useful efficiency at nominal and minimum heat output: ηth,nom ηth,min

CEN

EN 613:2021 § 7.11.2

EN 1266:2002 § 6.12 & § 7.12.2

EN 13278:2013 § 6.12 & § 7.12.2

In EN 613, ηth,nom and ηth,min shall be calculated as η in conditions applicable to the nominal and minimum heat output, if relevant.

In EN 1266 and EN 13278 ηth,nom corresponds to η if determined with nominal heat input. ηth,min corresponds to η if determined with minimum heat input.

All values shall be based on net calorific value.

Nominal heat output, minimum heat output: Pnom Pmin

CEN

EN 613:2021

EN 1266:2002 § 6.3.1 & § 6.3.3 & § 7.3.1 & § 7.3.5 § 6.12 & § 7.12

EN 13278:2013 § 6.3.1 & § 6.3.3 & § 7.3.1 & § 7.3.5 & § 6.12 & § 7.12.2

EN 449:2002+A1:2007 § 5.15.1 & § 5.15.2 & § 6.15.1 & § 6.15.2

In EN 613 Pnom shall be determined as Pnom = Qn*η applicable to nominal output conditions. For Qn see § 7.3.1. Pmin shall be determined as Pmin = minimum heat output*η. For minimum heat output see § 7.3.5.

In EN 1266, EN 13278:2013 and EN 449, Pnom shall be determined with Pnom = Qnth,nom and Pmin shall be determined with Pmin = Qmth,min.

All values shall be based on net calorific value.

Electrical power consumption at nominal heat output, elmax

CEN

EN 15456:2008: § 5.1.3.1.

elmax corresponds to Paux 100, measured at nominal load operation.

Electrical power consumption at minimum heat output: elmin

CEN

EN 15456:2008: § 5.1.3.2.

elmin corresponds to Paux 30, measured at an applicable part load operation.

Standby mode power consumption: elsm

CEN

EN 15456:2008: § 5.1.3.3

or

EN 50564:2011 § 5.3

elsm corresponds to either Paux sb in EN15456 or to the power consumption in standby mode in EN 50564.

Emissions of nitrogen oxides (NOx)

CEN

EN 613:2021 § 7.7.4

EN 1266:2002 § 7.7.4 & Annex G

EN 13278:2013 § 7.7.4 & Annex H

Flueless heaters: EN 14829:2007 § 7.9.4

EN613, EN1266 and EN13278 establish NOx emissions as weighted values over full-modulating-minimum load conditions.

EN 14829:2007 NOx test method to be considered for flueless gas heater.

Permanent pilot flame power: Ppilot

CEN

EN 1266:2002 § 7.3.4

EN613 and EN13278 do not have a clause that describes how to calculate the heat input of the ignition burner.

Control accuracy and Control to Setpoint Deviation: CA and CSD

CEN

 

The control accuracy for gaseous fuel local space heaters is not described in EN standards.

For the purpose of declaration and verification the principles as applied in EN 15500-1 shall be used.


Liquid fuel local space heaters

Parameter

ESO

Reference/ Title

Notes

Direct heat output

CEN

EN 1:1998 § 6.6.2

EN 13842:2004: § 6.3.

The direct heat output is the heat capacity according to EN 1 § 6.6.2.

In EN 13842 the direct heat output can be calculated as Q0* (1-qA).

All values shall be based on net calorific value.

Indirect heat output

CEN

 

The indirect heat output of liquid fuel local space heaters is not described in EN standards.

For the purpose of declaration and verification the principles as applied in EN 16510-1 shall be used

Useful efficiency at nominal and minimum heat output: ηth,nom, ηth,min

CEN

EN 1:1998 § 6.6.1.2

EN 13842:2004 § 6.5.6

Following EN 1, ηth,nom corresponds to η at maximum oil flow rate, ηth,min shall be determined as η at minimum oil flow rate.

Following EN 13842 ηth,nom shall be calculated as ηth,nom = 1-qA, with qA measured at nominal heat input or at minimum heat input (where applicable).

All values shall be based on net calorific value.

Nominal heat output, minimum heat output: Pnom Pmin

CEN

EN 1:1998/A1:2007 § 6.5.2.1

EN 13842:2004: § 6.3.

Following EN 1, Pnom corresponds to P at maximum (is nominal) and minimum oil flow rate.

Following EN 13842 the nominal heat output can be calculated as: Q0*(1-qA) for nominal and minimum heat output conditions.

Electrical power consumption at nominal heat output, elmax

CEN

EN 15456:2008 § 5.1.3.1.

elmax corresponds to Paux 100 in EN15456.

Electrical power consumption at minimum heat output: elmin

CEN

EN 15456:2008, § 5.1.3.2.

Corresponds to auxiliary power requirement Paux 30 in EN15456

Standby mode power consumption: Psm

CEN

EN 15456:2008, § 5.1.3.3.

or

EN 50564:2011§ 5.3.

Corresponds to Paux sb in EN15456 or to the power consumption in standby mode in EN 50564.

Emissions of nitrogen oxides (NOx)

CEN

EN 1:1998/A1:2007 § 6.6.4

EN 13842 Annex C7

For declaration and verification the method according to EN 1 shall be used.

Permanent pilot flame power: Ppilot

CEN

EN 1266:2002, § 7.3.4

For declaration and verification of such a power requirement the method as in EN1266:2002, § 7.3.4 shall be used.

Control accuracy and Control to Setpoint Deviation: CA and CSD

CEN

 

The control accuracy of liquid fuel local space heaters is not described in EN standards.

For the purpose of declaration and verification the principles as applied in EN 15500-1 shall be used


Electric local space heaters

Parameter

ESO

Reference/ Title

Notes

Nominal heat output: Pnom

CENELEC

For electric portable, fixed heaters and underfloor heaters: EN/IEC 60675:1995/A11:2019 Clause 16C

For electric storage heaters: EN 60531:2000/A11:2019 § 9.3

Following EN 60675:1995/A11:2019 if there is no indirect heat output the maximum continuous heat output (clause 16A) will be equal to the nominal heat output.

Pnom corresponds to the following applicable standards:

IEC/EN 60335-1: Household and similar electrical appliances — safety— rated voltage: 250 V for single-phase appliances, up to 480 V for others, not intended for appliances for domestic use as usual.

IEC/EN 60335-2-30: Household and similar electrical appliances — safety — particular requirements for room heaters.

IEC/EN 60335-2-43: Household and similar electrical appliances - Safety - Part 2-43: Particular requirements for clothes dryers and towel rails.

IEC/EN 60335-2-61: Household and similar electrical appliances — safety — particular requirements for thermal storage room heaters.

IEC/EN 60335-2-96: Household and similar electrical appliances — safety — particular requirements for flexible sheet heating elements for room heating.

IEC/EN 60335-2-106: Household and similar electrical appliances — safety — particular requirements for heated carpets and for heating units for room heating.

IEC/EN 60531:1991. Household electric thermal storage room heaters — methods for measuring performance

Maximum continuous heat output: Pmax,c

CENELEC

For electric portable, fixed heaters and underfloor heaters: EN/IEC 60675:1995/A11:2019 Clause 16 A

Pmax,c corresponds to the usable power in IEC 60675

Standby mode power consumption: Psm

CENELEC

EN 50564:2011 § 5.3

Corresponds to power consumption in standby mode in EN 50564.

F(2) and F(3)

CENELEC

For electric portable, fixed heaters and underfloor heaters: EN 60675:1995/A11:2019 § 17

EN 60675 provides test methods for all control functions corresponding to F(2) and F(3), except for control accuracy and self-learning functionality

Control accuracy and Control to Setpoint Deviation: CA and CSD

CEN

EN 15500-1:2017 § 5.4 & § 6.3

 


Luminous and tube local space heaters

Parameter

ESO

Reference/ Title

Notes

Useful efficiency at nominal and minimum heat output: ηth,nom ηth,min

CEN

Tube local space heaters with tube segments other than strips: EN 416:2019 § 7.6.5.

Tube local space heaters which tube segments are strips: EN 17175:2019

 

Nominal heat output, minimum heat output: Pnom Pmin

CEN

Luminous local space heaters: EN 419:2019

Tube local space heaters with tube segments other than strips: EN 416:2019

Tube local space heaters which tube segments are strips: EN 17175:2019

For luminous and tube local space heaters, the heat output is calculated as:

heat output = heat input Qn * useful efficiency, at nominal or minimum heat output.

All values shall be based on gross calorific value of fuel.

Envelope loss factor: Fenv

CEN

EN 1886:2007 § 8.2.1

Fenv depends on class T1 to T5 as established by EN 1886.

Radiant factor (RF for nominal and minimum): RFnom and RFmin

CEN

Luminous local space heaters: EN 419:2019: § 7.6.3

Tube local space heaters: EN 416:2019 § 7.5.3

Tube local space heaters which tube segments are strips: EN 17175:2019

RF at nominal heat output corresponds to Rf in the standard. RF at minimum heat output corresponds to Rf, but measured at minimum heat output.

Rf shall be based on net calorific value.

Electrical power consumption at nominal heat output: elmax

CEN

EN 416:2019 § 6.4.2

EN 419:2019 § 6.8.2

EN 17175:2019

 

Electrical power consumption at minimum heat output: elmin

CEN

EN 416:2019 § 6.4.3

EN 419:2019 § 6.8.3

EN 17175:2019

 

Standby mode power consumption, Psm

CEN

EN 416:2019 § 6.4.4

EN 419:2019 § 6.8.4

EN 17175:2019

EN 50564:2011

Corresponds to power consumption in standby mode in EN 50564

Permanent pilot flame power: Ppilot

CEN

 

Neither standard EN 416 nor EN 419, nor EN 17175 describes a method for determining a power requirement for a permanent pilot flame (ignition burner). For declaration and verification of such a power requirement the method as in EN1266:2002, § 7.3.4 shall be used.


Controls

Parameter

ESO

Reference/ Title

Notes

Off mode: Po

CEN

EN 15500-1:2017 § 5.3.2 & § 6.1

EN 50564:2011 § 5.3

EN 15500-1 defines the basic layout for testing controls separately from the local space heater, although it does not set out a specific method for testing off mode. A specific method for low power modes of household electrical appliances is laid down in EN 50564:2011, where the corresponding adaptations must be made to check controls.

Standby mode: Psm

CEN

EN 15500-1:2017 § 5.3.2 & § 6.1

EN 50564:2011 § 5.3

EN 15500-1 defines the basic layout for testing controls separately from the local space heater, although it does not set out a specific method for testing standby mode. A specific method for low power modes of household electrical appliances is laid down in EN 50564:2011, where the corresponding adaptations must be made to check controls.

Idle mode: Pidle

CEN

EN 15500-1:2017 § 6.2.1

 

Networked standby: Pnsm

CEN

EN 15500-1:2017 § 5.3.2 & § 6.1

EN 50564:2011 § 5.3

EN 15500-1 defines the basic layout for testing controls separately from the local space heater, although it does not set out a specific method for testing networked standby mode. A specific method for low power modes of household electrical appliances is laid down in EN 50564:2011, where the corresponding adaptations must be made to check controls.

Standby mode with display of information or status

CEN

EN 15500-1:2017 § 5.3.2 & § 6.1

EN 50564:2011 § 5.3

EN 15500-1 defines the basic layout for testing controls separately from the local space heater, although it does not set out a specific method for testing standby mode with display of information or status. A specific method for low power modes of household electrical appliances is laid down in EN 50564:2011, where the corresponding adaptations must be made to check controls.

Control Accuracy and Control to Setpoint Deviation: CA and CSD

CEN

EN 15500-1:2017 § 5.4 & § 6.3

 


ANNEX V

Verification procedure for the purpose of market surveillance referred to in Article 5

1.   

The verification tolerances defined in this Annex relate only to the verification of the declared parameters by Member State authorities and shall not be used by the manufacturer, importer or authorised representatives as an allowed tolerance to establish the values in the technical documentation or in interpreting these values with a view to achieving compliance or to communicate better performance by any means.

2.   

Where a model is not in conformity with the requirements laid down in Article 6, the model and all equivalent models shall be considered not compliant.

3.   

As part of verifying the compliance of a local space heater model or a separate related control model with the requirements laid down in this Regulation pursuant to Article 3(2) of Directive 2009/125/EC, the authorities of the Member States shall apply the following procedure:

(a)

the Member State authorities shall verify one single unit per model;

(b)

the model and all equivalent models shall be considered to comply with the requirements set out in this Regulation if all the following conditions are fulfilled:

(i)

the declared values given in the technical documentation pursuant to point 2 of Annex IV to Directive 2009/125/EC, and, where applicable, the values used to calculate these values, are not more favourable for the manufacturer, importer or authorised representative than the results of the corresponding measurements carried out pursuant to point 2(g) of that Annex;

(ii)

the declared values meet any requirements laid down in this Regulation, and any required product information published by the manufacturer, importer or authorised representative does not contain values that are more favourable for the manufacturer, importer or authorised representative than the declared values;

(iii)

when the Member State authorities check the unit of the model, any software update system that may have been set up by the manufacturer, importer or authorised representative complies with the requirements in Article 7;

(iv)

when the Member State authorities check the unit of the model, it complies with the product information requirements in point 4 and resource efficiency requirements in point 5 of Annex II;

(v)

when the Member State authorities test the unit of the model, the determined values (the values of the relevant parameters as measured in testing and the values calculated from these measurements) comply with the respective verification tolerances in Table 12.

4.   

Where the results referred to in points (3)(b), (i), (ii) (iii) or (iv) are not achieved, the model and all equivalent models shall be considered not to comply with this Regulation.

5.   

Where the result referred to in point (3)(b)(v) is not achieved, the Member State authorities shall select three additional units of the same model for testing. As an alternative, the three additional units selected may be of one or more equivalent models.

6.   

The model shall be considered to comply with the applicable requirements if, for the three units referred to in point (5), the arithmetical mean of the determined values complies with the respective verification tolerances set out in Table 12.

7.   

Where the result referred to in point (6) is not achieved, the model and all equivalent models shall be considered not in compliance with this Regulation.

8.   

The Member State authorities shall provide all relevant information to the authorities of the other Member States and to the Commission without delay after a decision being taken on the non-compliance of the model in accordance with points (2), (4) or (7).

9.   

The Member State authorities shall use the measurement and calculation methods set out in Annex III.

10.   

The Member State authorities shall only apply the verification tolerances that are set out in Table 12 and shall use only the procedure described in points (3) to (7) for the requirements referred to in this Annex. For the parameters in Table 12 no other verification tolerances, such as those set out in harmonised standards or in any other measurement method, shall be applied.

Table 12: Verification tolerances

Parameters

Verification tolerances

ηS for electric local space heaters

The determined value (*1) of ηS is not worse than the declared value of ηs.

ηS for liquid fuel local space heaters

The determined value (*1) of ηS is not more than 8% lower than the declared value of ηs.

ηS for gaseous fuel local space heaters

The determined value (*1) of ηS is not more than 8% lower than the declared value of ηs.

ηS for commercial local space heaters

The determined value (*1) of ηS is not more than 10% lower than the declared value of ηs.

Pnom

The determined value (*1) of Pnom is not more than 10% lower than the declared value of Pnom .

NOx emissions of gaseous fuel local space heaters, liquid fuel local space heaters and commercial local space heaters

The determined value (*1) is not more than 10% higher than the declared value of emissions of NOx.

Po

The determined value (*1) shall not exceed the declared value of Po by more than 0,10 W.

Psm, Pidle, Pnsm

The determined value (*1) shall not exceed the declared value by more than 10% if the declared value of Psm, Pidle or Pnsm is higher than 1,00 W, or by more than 0,10 W if the declared value is lower than or equal to 1,00 W.


(*1)  Where three additional units are tested in accordance with point (5), the determined value means the arithmetical mean of the values determined for those three additional units.


ANNEX VI

Indicative benchmarks referred to in Article 8

At the time of entry into force of this Regulation, the best available technology on the market for local space heaters in terms of seasonal space heating energy efficiency and emissions of nitrogen oxides was identified as follows:

(1)

specific benchmarks for seasonal space heating energy efficiency of local space heaters:

(a)

open fronted local space heaters: 65%;

(b)

open combustion closed fronted local space heaters and balanced flue local space heaters: 88%;

(c)

electric local space heaters: 51%;

(d)

luminous local space heaters: 92%;

(e)

tube local space heaters: 88%;

(2)

Specific benchmarks for emissions of nitrogen oxides (NOx) by local space heaters:

(a)

local space heaters using gaseous or liquid fuel: 50 mg/kWhinput based on GCV;

(b)

luminous local space heaters and tube local space heaters: 50 mg/kWhinput based on GCV.

The benchmarks specified in the points 1 and 2 do not necessarily imply that a combination of those values is achievable for a single local space heater.


ELI: http://data.europa.eu/eli/reg/2024/1103/oj

ISSN 1977-0677 (electronic edition)

    • Related Articles

    • Guide to Heating Systems, Radiator Heating by Scirocco H Srl

      Thermal Dispersions and Buildings The calculation of the thermal requirements of buildings is governed by the current national regulations present in every country. The analytical evaluation of thermal dispersions is set for steady-state conditions, ...
    • SCIROCCO H - Thermal demand

      Thermal demand of a space is a critical measure necessary to ensure that a heating system is adequate for the needs of a home or building. In this article, we will explore in detail how thermal demand is calculated and how this information is used to ...